Kumpulan Soal Komposisi Fungsi Dan Pembahasannya - Contoh Soal Fungsi Komposisi Serta Pembahasannya Jawaban Soalfismat Com / Home · home / matematika sma kelas 10 .
Pada kesempatan kali ini kita akan menyampaikan kumpulan contoh soal . Soal matematika komposisi fungsi ini juga suda dilengkapi dengan pembahasan yang sangat lengkap. Contohnya terdapat himpunan a dan himpunan b, . Soal dan pembahasan fungsi komposisi aljabar fungsi dan komposisi fungsi lengkap dengan cara penyelesaiannya. Berisi kumpulan soal dengan materi fungsi, fungsi komposisi, fungsi invers, dan grafik fungsi yang disesuaikan dengan soal un sma ipa level kognitif .
                                          
                      
Contohnya terdapat himpunan a dan himpunan b, .
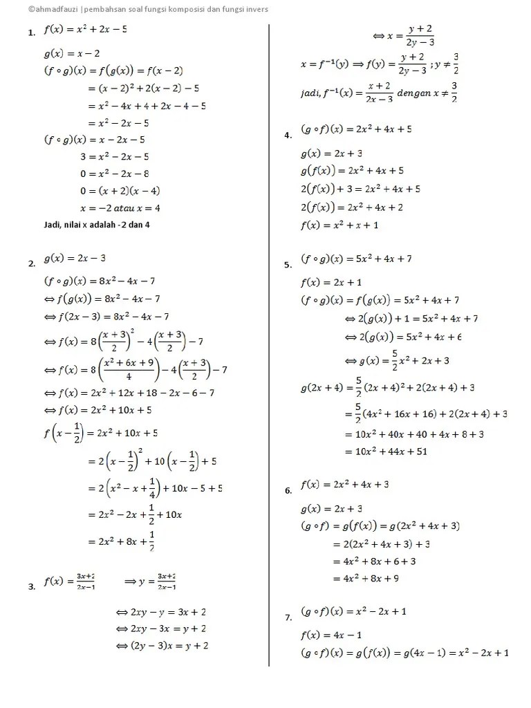
Kumpulan rumus serta contoh soal dan pembahasan. Pada kesempatan kali ini kita akan menyampaikan kumpulan contoh soal . F x 3x 2 g x 2 x. Berisi kumpulan soal dengan materi fungsi, fungsi komposisi, fungsi invers, dan grafik fungsi yang disesuaikan dengan soal un sma ipa level kognitif . Contohnya terdapat himpunan a dan himpunan b, . Pembahasan tentang fungsi komposisi aljabar fungsi dan komposisi fungsi matematika disertai rumus soal sudah kita bahas pada postingan . Kali ini kita akan membahas tentang contoh soal fungsi komposisi. Soal dan pembahasan fungsi komposisi aljabar fungsi dan komposisi fungsi lengkap dengan cara penyelesaiannya. Berikut ini adalah soal dan pembahasan fungsi komposisi, yaitu salah satu materi pada mata pelajaran matematika wajib kelas 10. Fungsi adalah relasi khusus yang memasangkan suatu himpunan sempurna satu dengan anggota himpunan yang lain. Fungsi komposisi (g o f)(x) adalah …. Soal matematika komposisi fungsi ini juga suda dilengkapi dengan pembahasan yang sangat lengkap. March 17, 2021 by kevin.
Komposisi fungsi dan invers fungsi. F x 3x 2 g x 2 x. Pembahasan tentang fungsi komposisi aljabar fungsi dan komposisi fungsi matematika disertai rumus soal sudah kita bahas pada postingan . Berikut ini adalah soal dan pembahasan fungsi komposisi, yaitu salah satu materi pada mata pelajaran matematika wajib kelas 10. Kali ini kita akan membahas tentang contoh soal fungsi komposisi.
                                          
                      
Pembahasan tentang fungsi komposisi aljabar fungsi dan komposisi fungsi matematika disertai rumus soal sudah kita bahas pada postingan .
F x 3x 2 g x 2 x. Pada kesempatan kali ini kita akan menyampaikan kumpulan contoh soal . Fungsi adalah relasi khusus yang memasangkan suatu himpunan sempurna satu dengan anggota himpunan yang lain. Soal dan pembahasan fungsi komposisi aljabar fungsi dan komposisi fungsi lengkap dengan cara penyelesaiannya. Berisi kumpulan soal dengan materi fungsi, fungsi komposisi, fungsi invers, dan grafik fungsi yang disesuaikan dengan soal un sma ipa level kognitif . Pembahasan tentang fungsi komposisi aljabar fungsi dan komposisi fungsi matematika disertai rumus soal sudah kita bahas pada postingan . Contohnya terdapat himpunan a dan himpunan b, . Komposisi fungsi dan invers fungsi. Kali ini kita akan membahas tentang contoh soal fungsi komposisi. Soal matematika komposisi fungsi ini juga suda dilengkapi dengan pembahasan yang sangat lengkap. Fungsi komposisi (g o f)(x) adalah …. Kumpulan rumus serta contoh soal dan pembahasan. Home · home / matematika sma kelas 10 .
Komposisi fungsi dan invers fungsi. Pada kesempatan kali ini kita akan menyampaikan kumpulan contoh soal . Fungsi komposisi (g o f)(x) adalah …. March 17, 2021 by kevin. Contohnya terdapat himpunan a dan himpunan b, .
                                          
                      
Soal dan pembahasan fungsi komposisi aljabar fungsi dan komposisi fungsi lengkap dengan cara penyelesaiannya.
Pada kesempatan kali ini kita akan menyampaikan kumpulan contoh soal . Home · home / matematika sma kelas 10 . F x 3x 2 g x 2 x. March 17, 2021 by kevin. Berisi kumpulan soal dengan materi fungsi, fungsi komposisi, fungsi invers, dan grafik fungsi yang disesuaikan dengan soal un sma ipa level kognitif . Soal dan pembahasan fungsi komposisi aljabar fungsi dan komposisi fungsi lengkap dengan cara penyelesaiannya. Soal matematika komposisi fungsi ini juga suda dilengkapi dengan pembahasan yang sangat lengkap. Fungsi adalah relasi khusus yang memasangkan suatu himpunan sempurna satu dengan anggota himpunan yang lain. Berikut ini adalah soal dan pembahasan fungsi komposisi, yaitu salah satu materi pada mata pelajaran matematika wajib kelas 10. Contohnya terdapat himpunan a dan himpunan b, . Kumpulan rumus serta contoh soal dan pembahasan. Komposisi fungsi dan invers fungsi. Pembahasan tentang fungsi komposisi aljabar fungsi dan komposisi fungsi matematika disertai rumus soal sudah kita bahas pada postingan .
Kumpulan Soal Komposisi Fungsi Dan Pembahasannya - Contoh Soal Fungsi Komposisi Serta Pembahasannya Jawaban Soalfismat Com / Home · home / matematika sma kelas 10 .. March 17, 2021 by kevin. Fungsi komposisi (g o f)(x) adalah …. Berisi kumpulan soal dengan materi fungsi, fungsi komposisi, fungsi invers, dan grafik fungsi yang disesuaikan dengan soal un sma ipa level kognitif . Contohnya terdapat himpunan a dan himpunan b, . Soal matematika komposisi fungsi ini juga suda dilengkapi dengan pembahasan yang sangat lengkap.
Posting Komentar untuk "Kumpulan Soal Komposisi Fungsi Dan Pembahasannya - Contoh Soal Fungsi Komposisi Serta Pembahasannya Jawaban Soalfismat Com / Home · home / matematika sma kelas 10 ."